Kolloquium Statistische Methoden in der empirischen Forschung
RPACT GmbH
January 13, 2026






rpact code examples

Sample size and power can be calulcated for testing:
Sample size calculation for a continuous endpoint
Sequential analysis with a maximum of 3 looks (group sequential design), one-sided overall significance level 2.5%, power 80%. The results were calculated for a two-sample t-test, H0: mu(1) - mu(2) = 0, H1: effect = 2, standard deviation = 5.
| Stage | 1 | 2 | 3 |
|---|---|---|---|
| Planned information rate | 33.3% | 66.7% | 100% |
| Cumulative alpha spent | 0.0001 | 0.0060 | 0.0250 |
| Stage levels (one-sided) | 0.0001 | 0.0060 | 0.0231 |
| Efficacy boundary (z-value scale) | 3.710 | 2.511 | 1.993 |
| Futility boundary (z-value scale) | 0 | 0 | |
| Efficacy boundary (t) | 4.690 | 2.152 | 1.384 |
| Futility boundary (t) | 0 | 0 | |
| Cumulative power | 0.0204 | 0.4371 | 0.8000 |
| Number of subjects | 69.9 | 139.9 | 209.8 |
| Expected number of subjects under H1 | 170.9 | ||
| Overall exit probability (under H0) | 0.5001 | 0.1309 | |
| Overall exit probability (under H1) | 0.0684 | 0.4202 | |
| Exit probability for efficacy (under H0) | 0.0001 | 0.0059 | |
| Exit probability for efficacy (under H1) | 0.0204 | 0.4167 | |
| Exit probability for futility (under H0) | 0.5000 | 0.1250 | |
| Exit probability for futility (under H1) | 0.0480 | 0.0035 |
Legend:
Perform interim and final analyses during the trial using group sequential method or p-value combination test (inverse normal or Fisher)
Calculate adjusted point estimates and confidence intervals (cf., Robertson et al. (2023), Robertson et al. (2025))
Perform sample size reassessment using the observed data, e.g., based on calculation of conditional power
Easy to understand R commands:
Some highlights:
Obtain operating characteristics of different designs:
Current situation:
Sequential analysis with a maximum of 3 looks (group sequential design)
O’Brien & Fleming design, non-binding futility, one-sided overall significance level 2.5%, power 80%, undefined endpoint, inflation factor 1.0628, ASN H1 0.8528, ASN H01 0.8821, ASN H0 0.7059.
| Stage | 1 | 2 | 3 |
|---|---|---|---|
| Planned information rate | 33.3% | 66.7% | 100% |
| Cumulative alpha spent | 0.0003 | 0.0072 | 0.0250 |
| Stage levels (one-sided) | 0.0003 | 0.0071 | 0.0225 |
| Efficacy boundary (z-value scale) | 3.471 | 2.454 | 2.004 |
| Futility boundary (z-value scale) | 0 | -Inf | |
| Cumulative power | 0.0356 | 0.4617 | 0.8000 |
| Futility probabilities under H1 | 0.048 | 0 |
Or derivation of futility bounds through beta spending approach
Sequential analysis with a maximum of 3 looks (group sequential design)
O’Brien & Fleming type alpha spending design and Kim & DeMets beta spending (gammaB = 1.3), non-binding futility, futility stops c(TRUE, FALSE), one-sided overall significance level 2.5%, power 80%, undefined endpoint, inflation factor 1.0586, ASN H1 0.8634, ASN H01 0.8829, ASN H0 0.7038.
| Stage | 1 | 2 | 3 |
|---|---|---|---|
| Planned information rate | 33.3% | 66.7% | 100% |
| Cumulative alpha spent | 0.0001 | 0.0060 | 0.0250 |
| Cumulative beta spent | 0.0479 | 0.0479 | 0.2000 |
| Stage levels (one-sided) | 0.0001 | 0.0060 | 0.0231 |
| Efficacy boundary (z-value scale) | 3.710 | 2.511 | 1.993 |
| Futility boundary (z-value scale) | -0.001 | -Inf | |
| Cumulative power | 0.0204 | 0.4370 | 0.8000 |
| Futility probabilities under H1 | 0.048 | 0 |
Sequential analysis with a maximum of 3 looks (Fisher’s combination test design)
Full last stage level design, binding futility, one-sided overall significance level 2.5%, undefined endpoint.
| Stage | 1 | 2 | 3 |
|---|---|---|---|
| Fixed weight | 1 | 1 | 1 |
| Cumulative alpha spent | 0.0084 | 0.0128 | 0.0250 |
| Stage levels (one-sided) | 0.0084 | 0.0084 | 0.0250 |
| Efficacy boundary (p product scale) | 0.0084123 | 0.0010734 | 0.0007284 |
| Futility boundary (separate p-value scale) | 0.5000 | 1.0000 |
For group sequential designs, futility bounds have to be specified on the \(z\)-value scale. For Fisher’s combination test, they are on the separate \(p\)-value scale
It is desired , however, to define it also for other scales, e.g., the conditional power scale
On the effect size scale, futility bounds are already the output in the getSampleSize...() and getPower...() function. For example,
Sample size calculation for a continuous endpoint
Sequential analysis with a maximum of 3 looks (group sequential design), one-sided overall significance level 2.5%, power 80%. The results were calculated for a two-sample t-test (normal approximation), H0: mu(1) - mu(2) = 0, H1: effect as specified, standard deviation = 1.
| Stage | 1 | 2 | 3 |
|---|---|---|---|
| Planned information rate | 33.3% | 66.7% | 100% |
| Cumulative alpha spent | 0.0003 | 0.0072 | 0.0250 |
| Stage levels (one-sided) | 0.0003 | 0.0071 | 0.0225 |
| Efficacy boundary (z-value scale) | 3.471 | 2.454 | 2.004 |
| Futility boundary (z-value scale) | 0 | 0.500 | |
| Efficacy boundary (t), alt. = 0.3 | 0.623 | 0.312 | 0.208 |
| Efficacy boundary (t), alt. = 0.5 | 1.039 | 0.520 | 0.346 |
| Futility boundary (t), alt. = 0.3 | 0 | 0.064 | |
| Futility boundary (t), alt. = 0.5 | 0 | 0.106 | |
| Cumulative power | 0.0359 | 0.4633 | 0.8000 |
| Number of subjects, alt. = 0.3 | 124.0 | 248.0 | 372.0 |
| Number of subjects, alt. = 0.5 | 44.6 | 89.3 | 133.9 |
| Expected number of subjects under H1, alt. = 0.3 | 296.2 | ||
| Expected number of subjects under H1, alt. = 0.5 | 106.6 | ||
| Overall exit probability (under H0) | 0.5003 | 0.2459 | |
| Overall exit probability (under H1) | 0.0833 | 0.4444 | |
| Exit probability for efficacy (under H0) | 0.0003 | 0.0069 | |
| Exit probability for efficacy (under H1) | 0.0359 | 0.4274 | |
| Exit probability for futility (under H0) | 0.5000 | 0.2391 | |
| Exit probability for futility (under H1) | 0.0474 | 0.0171 |
Legend:
getFutilityBounds()The new function converts futility bounds between different scales
For one-sided two-stage designs, futility bounds can be specified for different scales which are
the \(z\)-value or \(p\)-value scale
the effect size scale
the conditional power scale
For the latter, one can select between
the reverse conditional power scale
This can also be applied to inverse normal or Fisher combination tests
getFutilityBounds()Example: z → p
Example: p → z
getFutilityBounds()Example: p → z → design → summary
Sequential analysis with a maximum of 3 looks (group sequential design)
O’Brien & Fleming design, non-binding futility, one-sided overall significance level 2.5%, power 80%, undefined endpoint, inflation factor 1.0668, ASN H1 0.849, ASN H01 0.842, ASN H0 0.6214.
| Stage | 1 | 2 | 3 |
|---|---|---|---|
| Planned information rate | 33.3% | 66.7% | 100% |
| Cumulative alpha spent | 0.0003 | 0.0072 | 0.0250 |
| Stage levels (one-sided) | 0.0003 | 0.0071 | 0.0225 |
| Efficacy boundary (z-value scale) | 3.471 | 2.454 | 2.004 |
| Futility boundary (z-value scale) | 0 | 0.524 | |
| Cumulative power | 0.0359 | 0.4635 | 0.8000 |
| Futility probabilities under H1 | 0.047 | 0.018 |
getFutilityBounds()Example: Conditional power at observed effect → p
[1] 0.1223971
Some explanation is needed here
A futility bound \(u_1^0\) on the \(z\,\)-value scale is transformed to the \(p\,\)-value scale and vice versa via \[\begin{equation} \alpha_0 = 1 - \Phi(u_1^0) \;\hbox{ and }\; u_1^0 = \Phi^{-1}(1 - \alpha_0), \hbox{ respectively}. \end{equation}\]
A futility bound \(u_1^0\) on the \(z\,\)-value scale is transformed to the effect size scale and vice versa via
\[\begin{equation} \hat\delta_0 = \frac{u_1^0}{\sqrt{I_1}} \;\hbox{ and }\; u_1^0 = \hat\delta_0 \sqrt{I_1}, \hbox{ respectively}, \end{equation}\]
where \(I_1\) is the first stage information.
For example, for a one-sample test with continuous endpoint and known variance \(\sigma^2\),
\[\begin{equation} I_1 = \frac{n_1}{\sigma^2}\;. \end{equation}\]
For other testing situations, this needs to be derived accordingly.
For example, for a survival design using the log-rank test for testing the log-hazard ratio,
\[\begin{equation} I_1 = \frac{r}{(1 + r)^2}\, D_1\;, \end{equation}\]
where \(D_1\) is the total number of first stage events and \(r\) is the allocation ratio.
As an example, assume that the interim analysis is planned after observing \(D_1 = 30\) events. With a balanced randomization (\(r = 1\)), the futility bound is transformed from the \(z\) value scale to the hazard ratio scale through
This is the same results as obtained from getPowerSurvival()
Conditional power at a specified effect size is typically used during planning when the anticipated alternative is fixed. Futility rules of the form “stop if the conditional power is lower than a threshold” are common, but require explicit conversion to the underlying z-scale.
At interim, the conditional power is given by
\[\begin{equation} \begin{split} \textrm{CP}_{H_1} &= P_{H_1}(Z_2^* \geq u_2 \mid z_1) \\ &= P_{H_1}\left(Z_2 \geq \frac{u_2 - w_1 z_1}{w_2}\right) \\ &= 1 - \Phi\left(\frac{u_2 - w_1 z_1}{w_2} - \delta \sqrt{I_2}\right)\;, \end{split} \end{equation}\]
where \(w_1 = \sqrt{t_1}\), \(w_2 = \sqrt{1 - t_1}\), \(\delta\) is the treatment effect, and \(I_2\) is the second stage Fisher information.
Specifying a lower bound \(cp_0\) for the conditional power with regard to futility stopping yields
\[\begin{equation} \begin{split} \textrm{CP}_{H_1} &\geq cp_0 \\[3mm] \frac{u_2 - w_1 z_1}{w_2} - \delta \sqrt{I_2} &\leq \Phi^{-1}(1 - cp_0) \\ z_1 &\geq \frac{u_2 - w_2\big(\Phi^{-1}(1 - cp_0) + \delta \sqrt{I_2}\big)}{w_1} =: u_1^0 \;. \end{split} \end{equation}\]
as a lower bound on the \(z\)-value scale for proceeding the trial (without stopping for futility).
The formulas depend on the effect size \(\delta\) and the second stage Fisher information \(I_2\).
This variant replaces \(\delta\) with the interim estimate \(\hat\delta\). Then, the conditional power depends only on the information rate and therefore avoids assumptions about the true effect size.
If the observed treatment effect estimate, \(\hat\delta\), is used to calculate the conditional power,
\[\begin{equation} \hat\delta \sqrt{I_2} = z_1\sqrt{\frac{I_2}{I_1}} \;, \end{equation}\]
and therefore
\[\begin{equation} \textrm{CP}_{\hat H_1} = 1- \Phi\left(\frac{u_2 - w_1 z_1}{w_2} - z_1\sqrt{\frac{I_2}{I_1}}\right) \;, \end{equation}\]
which depends on \(I_1\) and \(I_2\) only through \(I_2 / I_1 = (1 - t_1)/t_1\), so absolute values are irrelevant.
The formula simplifies to
\[\begin{equation} \textrm{CP}_{\hat H_1} = 1 - \Phi\left(\frac{u_2 - z_1 / \sqrt{t_1}}{\sqrt{1 - t_1}} \right) \;. \end{equation}\]
A futility bound on the \(z\)-value scale at given bound for \(\textrm{CP}_{\hat H_1}\) is obtained by simple conversion.
The Bayesian predictive power using a normal prior \(\pi_0\) with mean \(\delta_0\) and variance \(1 / I_0\) can be shown to be (cf., Wassmer and Brannath (2025), Sect. 7.4)
\[\begin{equation} \textrm{PP}_{\pi_0} = 1 - \Phi\left(\sqrt{\frac{I_0 + I_1}{I_0 + I_1 + I_2}}\left(\frac{u_2 - w_1 z_1}{w_2} - \hat\delta_{\pi_0}\sqrt{I_2}\right)\right)\;, \end{equation}\]
where
\[\begin{equation*} \hat\delta_{\pi_0} = \delta_0 \frac{I_0}{I_0 + I_1} + \hat\delta \frac{I_1}{I_0 + I_1}\;. \end{equation*}\]
The Bayesian predictive power using a flat (improper) prior distribution \(\pi_0\) (implying \(I_0 = 0\)) is then
\[\begin{equation} \textrm{PP}_{\pi_0} = 1 - \Phi\left(\sqrt{\frac{I_1}{I_1 + I_2}}\left(\frac{u_2 - w_1 z_1}{w_2} - z_1\sqrt{\frac{I_2}{I_1}}\right)\right)\;. \end{equation}\]
As for the conditional power at observed effect, \(\textrm{PP}_{\pi_0}\) depends on \(I_1\) and \(I_2\) only through \(I_2 / I_1\), so absolute values again are irrelevant.
With the specifications from above, this yields
\[\begin{equation} \textrm{PP}_{\pi_0} = 1 - \Phi\left(\frac{\sqrt{t_1} \; u_2 - z_1 }{\sqrt{1 - t_1}} \right) \;. \end{equation}\]
A futility bound on the \(z\)-value scale at given bound for \(\textrm{PP}_{\pi_0}\) is obtained by simple conversion.
According to Tan, Xiong, and Kutner (1998), the reverse conditional power, RCP, is an alternative tool for assessing futility of a trial. They call this “Reverse stochastic curtailment”.
RCP can be understood as a “reverse” view of conditional power: instead of asking how likely we are to succeed, we ask how surprising the interim data would be if we were destined to succeed. Low RCP therefore signals that the current interim results are incompatible with ultimate success, suggesting futility.
For a two-stage trial using test statistics \(Z_1\) and \(Z_2^*\) at interim and at the final stage, respectively, the RCP is the conditional probability of obtaining results at least as disappointing as the current results given that a significant result will be obtained at the end of the trial.
Let \(t_1 = I_1 / (I_1 + I_2)\) be the information rate at interim.
The formula for RCP is then:
\[\begin{equation} \textrm{RCP} = P(Z_1 \leq z_1 | Z_2^* = u_2) = \Phi\left(\frac{z_1 - \sqrt{t_1} u_2}{\sqrt{1 - t_1}} \right) \end{equation}\]
which is independent from the alternative because \(Z_2^*\) is a sufficient statistic (cf., Ortega-Villa et al. (2025)).
Interestingly, this coincides exactly with the predictive power previously obtained using a flat prior and the specified information rates, thereby allowing an alternative interpretation of Bayesian predictive power.
One attractive choice is stopping for futility if \(\textrm{RCP} \leq 0.025\) (which corresponds to \(z \leq 0\) for two-stage design at level \(\alpha = 0.025\) with no early stopping).
If \(p_1>u_2\), at interim, the conditional power can be shown to be
\[\begin{equation} \begin{split} \textrm{CP}_{H_1} &= P_{H_1}(p_1 p_2^{w_2} \leq u_2 \mid p_1) \\[3mm] &= \Phi\left(\Phi^{-1}\left(\left(\frac{u_2}{1 - \Phi(z_1)}\right)^{1/w_2}\right) + \delta \sqrt{I_2}\right)\;, \end{split} \end{equation}\]
where \(w_2 = \sqrt{\frac{1 - t_1}{t_1}}\), \(\delta\) is the treatment effect, and \(I_2\) is the second stage Fisher information.
If \(p_1\leq u_2\), due to stochastic curtailment, \(\textrm{CP}_{H_1} = 1\).
Specifying an upper bound \(cp_0\) for the conditional power with regard to futility stopping yields
\[\begin{equation} \begin{split} \textrm{CP}_{H_1} &\geq cp_0 \\[1mm] \Leftrightarrow \quad z_1 &\geq \Phi^{-1}\left(1 - \frac{u_2}{\left(\Phi(\Phi^{-1}(cp_0) - \delta \sqrt{I_2})\right)^{w_2}}\right) =: u_1^0 \;. \end{split} \end{equation}\]
as a lower bound for proceeding the trial (without stopping for futility).
If \(p_1>u_2\) and if the observed treatment effect estimate, \(\hat\delta\), is used to calculate the conditional power,
\[\begin{equation} \textrm{CP}_{\hat H_1} = \Phi\left(\Phi^{-1}\left(\left(\frac{u_2}{1 - \Phi(z_1)}\right)^{1/w_2}\right) + z_1\sqrt{\frac{I_2}{I_1}}\right)\;. \end{equation}\]
If \(p_1\leq u_2\), \(\textrm{CP}_{\hat H_1} = 1\).
The futility bound is then found numerically by finding the minimum \(z_1\) value fulfilling
\[\begin{equation} \textrm{CP}_{\hat H_1} \geq cp_0 \;. \end{equation}\]
If \(p_1>u_2\) and we use a flat (improper) prior distribution \(\pi_0\) on the treatment effect \(\delta\), the Bayesian predictive power is
\[\begin{equation} \textrm{PP}_{\pi_0} = \Phi\left(\sqrt{\frac{I_1}{I_1 + I_2}}\left( \Phi^{-1}\left(\left(\frac{u_2}{1 - \Phi(z_1)}\right)^{1/w_2}\right) + z_1\sqrt{\frac{I_2}{I_1}}\right)\right)\;, \end{equation}\] If \(p_1\leq u_2\), \(\textrm{PP}_{\pi_0} = 1\).
The futility bound is found numerically by finding the minimum \(z_1\) value fulfilling
\[\begin{equation} \textrm{PP}_{\pi_0} \geq cp_0 \;. \end{equation}\]
Promizing zone approach (Mehta and Pocock (2011)): Increase sample size if conditional power at observed effect exceeds 50% (refined values exist). Then traditional test statistic can be used.
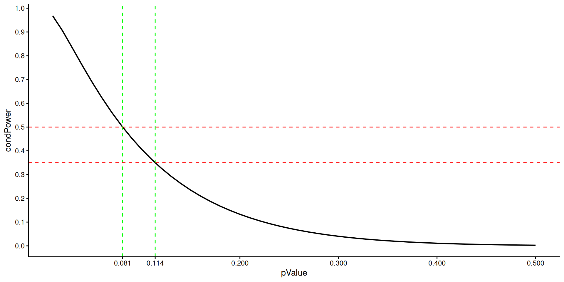
design <- getDesignGroupSequential(
kMax = 2,
typeOfDesign = "OF",
alpha = 0.025
)
futilityBounds <- seq(0.01, 0.5, by = 0.01)
y <- design |>
getFutilityBounds(
sourceValue = futilityBounds,
sourceScale = "pValue",
targetScale = "condPowerAtObserved"
)
dat <- data.frame(
pValue = futilityBounds,
condPower = y
)
ggplot(dat, aes(pValue, condPower)) +
geom_line(lwd = 0.75) +
geom_vline(
xintercept = c(0.081, 0.114),
linetype = "dashed",
color = "green",
lwd = 0.5
) +
geom_hline(
yintercept = c(0.35, 0.5),
linetype = "dashed",
color = "red",
lwd = 0.5
) +
scale_x_continuous(breaks = c(0.081, 0.114, 0.2, 0.3, 0.4, 0.5)) +
scale_y_continuous(breaks = seq(0, 1, 0.1)) +
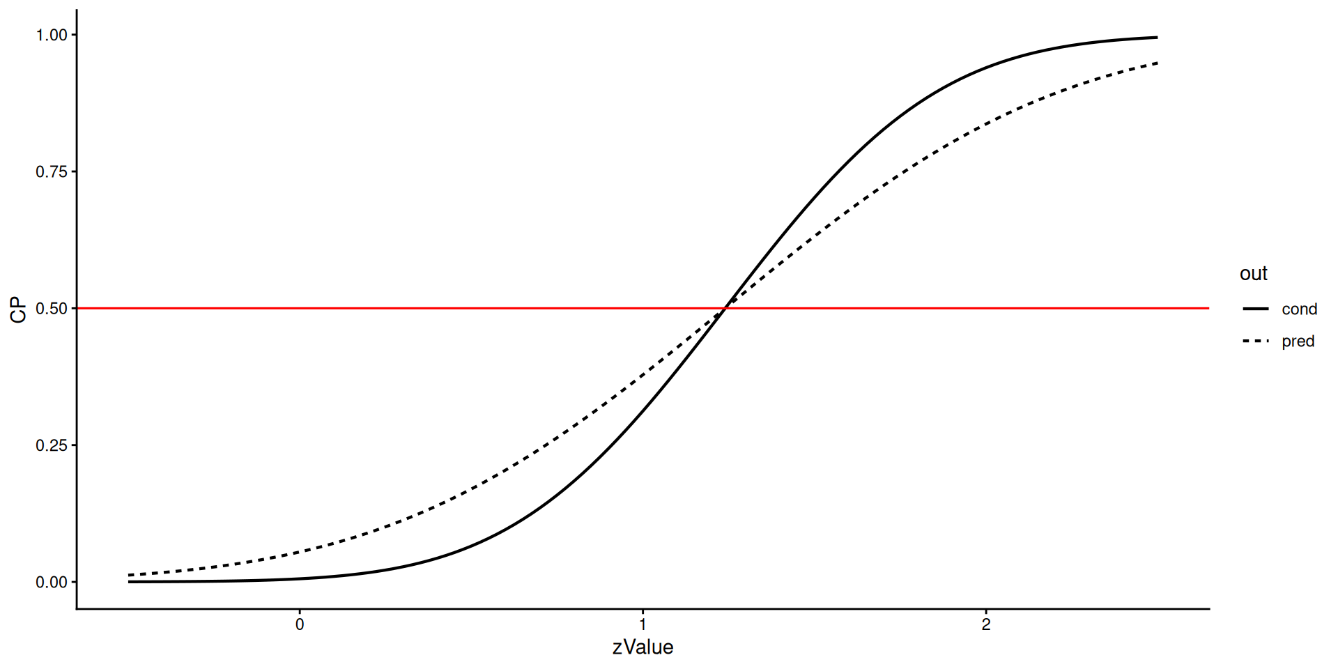
theme_classic()design <- getDesignGroupSequential(
typeOfDesign = "noEarlyEfficacy",
alpha = 0.025,
informationRates = c(0.4, 1)
)
futilityBounds <- seq(-0.5, 2.5, by = 0.025)
y <- design |>
getFutilityBounds(
sourceValue = futilityBounds,
sourceScale = "zValue",
targetScale = "predictivePower"
)
dat <- data.frame(
zValue = futilityBounds,
CP = y,
out = "pred"
)
y <- design |>
getFutilityBounds(
sourceValue = futilityBounds,
sourceScale = "zValue",
targetScale = "condPowerAtObserved"
)
dat <- dat |> rbind(
data.frame(
zValue = futilityBounds,
CP = y,
out = "cond"
)
)
ggplot(dat, aes(zValue, CP, out)) +
geom_line(aes(linetype = out), lwd = 0.75) +
geom_hline(yintercept = 0.5, color = "red", lwd = 0.55) +
theme_classic()
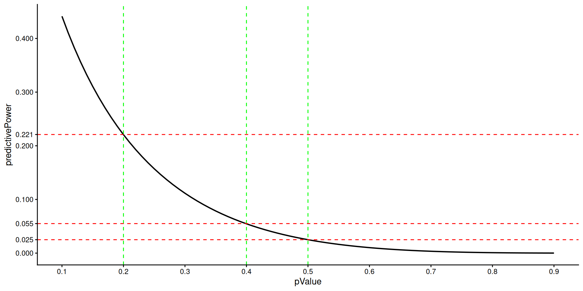
design <- getDesignGroupSequential(
kMax = 2,
typeOfDesign = "noEarlyEfficacy",
alpha = 0.025
)
futilityBounds <- seq(0.1, 0.9, by = 0.01)
y <- design |>
getFutilityBounds(
sourceValue = futilityBounds,
sourceScale = "pValue",
targetScale = "predictivePower"
)
dat <- data.frame(
pValue = futilityBounds,
predictivePower = y
)
ggplot(dat, aes(pValue, predictivePower)) +
geom_line(lwd = 0.75) +
geom_vline(
xintercept = c(0.2, 0.4, 0.5),
linetype = "dashed",
color = "green",
lwd = 0.5
) +
geom_hline(
yintercept = c(0.025, 0.055, 0.221),
linetype = "dashed",
color = "red",
lwd = 0.5
) +
scale_x_continuous(breaks = seq(0, 1, 0.1)) +
scale_y_continuous(breaks = c(0, 0.025, 0.055, 0.1, 0.2, 0.221, 0.3, 0.4)) +
theme_classic()getFutilityBounds() function as a separate toolrpact 4.3.0getDesignGroupSequential(), getDesignCharacteristics(), and the corresponding getSampleSizexxx() and getPowerxxx() functions characterize a delayed response group sequential test given certain input parameters in terms of power, maximum sample size and expected sample sizegetGroupSequentialProbabilities()Given boundary sets \(\{u^0_1,\dots,u^0_{K-1}\}\), \(\{u_1,\dots,u_K\}\) and \(\{c_1,\dots,c_K\}\), a \(K\)-stage delayed response group sequential design has the following structure:


According to Hampson and Jennison (2013), the boundaries \(\{c_1, \dots, c_K\}\) with \(c_K = u_K\) are chosen such that “reversal probabilities” are balanced, to ensure type I error control.
More precisely, \(c_1,\ldots,c_{K - 1}\) are chosen as the (unique) solution of: \[\begin{align*} \begin{split} &P_{H_0}(Z_1 \in (u^0_1, u_1), \dots, Z_{k-1} \in (u^0_{k-1}, u_{k-1}), Z_k \geq u_k, \tilde{Z}_k \leq c_k) \\ &= P_{H_0}(Z_1 \in (u^0_1, u_1), \dots, Z_{k-1} \in (u^0_{k-1}, u_{k-1}), Z_k \leq u^0_k, \tilde{Z}_k \geq c_k). \end{split} \end{align*}\]
Sequential analysis with a maximum of 3 looks (delayed response group sequential design)
Kim & DeMets alpha spending design with delayed response (gammaA = 2) and Kim & DeMets beta spending (gammaB = 2), one-sided overall significance level 2.5%, power 80%, undefined endpoint, inflation factor 1.0514, ASN H1 0.9269, ASN H01 0.9329, ASN H0 0.8165.
| Stage | 1 | 2 | 3 |
|---|---|---|---|
| Planned information rate | 30% | 70% | 100% |
| Delayed information | 16% | 20% | |
| Cumulative alpha spent | 0.0022 | 0.0122 | 0.0250 |
| Cumulative beta spent | 0.0180 | 0.0980 | 0.2000 |
| Stage levels (one-sided) | 0.0022 | 0.0109 | 0.0212 |
| Upper bounds of continuation | 2.841 | 2.295 | 2.030 |
| Lower bounds of continuation (binding) | -0.508 | 1.096 | |
| Decision critical values | 1.387 | 1.820 | 2.030 |
| Reversal probabilities | <0.0001 | 0.0018 | |
| Cumulative power | 0.1026 | 0.5563 | 0.8000 |
| Futility probabilities under H1 | 0.019 | 0.083 |
getSampleSizeCounts() and getPowerCounts()
getSimulationCounts()
Sample size calculation for a count data endpoint
Fixed sample analysis, two-sided significance level 5%, power 90%. The results were calculated for a two-sample Wald-test for count data, H0: lambda(1) / lambda(2) = 1, H1: effect = 0.75, lambda(2) = 0.4, overdispersion = 0.5, fixed exposure time = 1.
| Stage | Fixed |
|---|---|
| Stage level (two-sided) | 0.0500 |
| Efficacy boundary (z-value scale) | 1.960 |
| Lower efficacy boundary (t) | 0.844 |
| Upper efficacy boundary (t) | 1.171 |
| Lambda(1) | 0.300 |
| Number of subjects | 1736.0 |
| Maximum information | 127.0 |
Legend:
$overallReject
[1] 0.835 0.028
1.308 sec elapsed
Graphical user interface
Web based usage without local installation on nearly any device
Provides an easy entry to to learn and demonstrate the usage of rpact
Starting point for your R Markdown or Quarto reports
Online available at rpact.cloud
Just in the near future you will see in rpact:
Further information, installation, and usage:
All information and resources about RPACT on one dashboard page
RPACT Connect: connect.rpact.com
